-
LoRA: Low-Rank Adaptation of Large Language ModelsMachine Learning/Model 2024. 1. 20. 20:09
"LoRA: Low-Rank Adaptation of Large Language Models" 논문을 한국어로 정리한 포스트입니다.
LoRA: Low-Rank Adaptation of Large Language Models
Edward Hu, Yelong Shen,
Phillip Wallis, Zeyuan Allen-Zhu, Yuanzhi Li, Shean Wang, Lu Wang, Weizhu ChenIntroduction

Terminologies
- $d_{model}$: Transformer 레이어의 입력 및 출력 차원 크기
- $W_q$, $W_k$, $W_v$, $W_o$: self-attention 모듈에서 query, key, value, output projection 행렬
- $W$ 또는 $W_0$: 사전 학습된 가중치 행렬
- $\Delta W$: Adaptation 중에 누적된 기울기 업데이트
- $r$: LoRA 모듈의 rank
Problem Statement
- $P_{\Phi}(y\mid x)$ → $\Phi$ 로 paramerized 된 pretrained model
- $\mathcal{Z} = \{(x_i,y_i)\}_{i=1,\cdots,N}$
- → downstream task의 context($x$)-target($y$) 쌍의 학습 데이터셋
- fine-tuning 중 모델은 $\Phi_0$ 으로 초기화된 후, 아래의 objective function을 최대화 하기위해 gradient를 따라 $\Phi_0 + \Delta\Phi$로 반복적으로 업데이트 됨
$$ \underset{\Phi}{\max} \underset{(x,y) \in \mathcal{Z}}{\sum}\underset{t=1}{{\overset{\left| y\right|}{\sum}}}\log(P_{\Phi}(y_t\mid x,y_{<t})) $$
- fine-tuning의 주요 문제는 각 task에 대해 $\left|\Delta\Phi \right|$ 와 $\left|\Phi_0 \right|$ 가 같다는 점 ( = 모든 parameter가 학습에 포함됨, GPT3의 경우 $\left|\Delta\Phi \right| \approx$ 1750억)
- → 각각의 fine-tuning된 모델에 대해 독립적인 인스턴스를 저장하고 배포하는 것은 매우 어려운 일
- 본 논문에서는 더 parameter-efficient한 접근 방식을 사용.
- task-speific 한 parameter 변화량 $\Delta\Phi = \Delta\Phi(\Theta)$ 이 훨씬 작은 size의 $\Theta$로 인코딩 ( $\left|\Theta\right| \ll \left|\Phi_0 \right|$ ).
- $\Delta \Phi$를 찾는 과정이 아래와 같이 $\Theta$로 최적화할 수 있게 됨.

Intrinsic Dimension 수식과 비교 - 본 논문에서는 $\Delta \Phi$ 를 encode할 수 있는 low-rank representation을 제안함.
- GPT3 기준 $\left|\Theta\right|$ 는 $\left|\Phi_0 \right|$ (175B)의 0.01%
Aren’t Existing Solutions Good Enough?
- Transfer learning 이후 모델 adaptation을 효율적으로 하고자한 시도는 계속 있었음. 크게 두가지 전략 존재
- Adapter 레이어 추가
- Optimizing some forms of the input layer activations (prefix tuning)
1. Adapter Layers Introduce Inference Latency
- Adapter 변형 방식은 다양하지만 다음 2가지를 주로 체크
- Transformer block 당 두 개의 adapter를 사용하는 디자인 (by Houlsby et al. (2019)) $Adapter^H$
- 블록당 하나만 있지만 LayerNorm을 쓰는 경우 (by Lin et al. (2020)) $Adapter^L$
Adapter layer는 매우 적은 parameters (가끔은 original model의 1% 이하)를 쓰기 때문에 큰 문제로 보이지 않을수 있지만, large neural networks는 latency를 낮추기 위해 Hardware parallelism에 의존하며, adapter layer는 순차적으로 처리됨. → 이는 batch size가 1에 가까운 online inference 환경에서 차이를 만듬.

2. Directly Optimizing the Prompt is Hard
- prefix tuning은 최적화가 어려우며 performance가 non-montonically하게 변함.
- 근본적으로, adaptation을 위해 입력 sequence의 일부를 점하는 것은 downstream task에서 사용가능한 sequence 길이를 줄이고, 이로 인해 prompt를 tuning하는게 다른 방식들에 비해 성능이 떨어지는걸 봐왔음.
Our Method
1. Low-Rank-Parametrized Update Matrices
- 신경망은 matrix multiplication을 하는 수많은 dense layer들로 이루어져 있고, 이러한 layer의 weight matrix들은 일반적으로 full-rank를 가지고 있음
Intrinsic Dimensionality Explains the Effectiveness of Language Model Fine-Tuning
- 특정 task에 adpatation할때, pre-trained language model은 훨씬 적은 ‘intrinsic dimension’을 가지고 있고, 더 작은 subspace하게 random projection 하는 것만으로도 효율적으로 학습할 수 있음.
Inspired by this, we hypothesize the updates to the weight also have a low “intrinsic rank” during apdatation

- 사전 학습된 weight matrix $W_0 \in \mathbb{R}^{d \times k}$, update 값 $\Delta W$를 low-rank decomposition $BA$로 대체함.</aside>
Matrix Weight $W$의 변화량($\Delta W$)값을 low rank로 간소화!
$$ W_0 + \Delta W = W_0 + BA \quad where \; B \in \mathbb{R}^{d \times r},\; A \in \mathbb{R}^{r \times k} \quad (\,r \ll \min(d,k)\,) $$
- $W_0$는 freeze, $A$와 $B$는 학습 가능한 paramter. $h=W_0x$일 경우, 변경된 forward pass는 다음과 같음
$$ h = W_0x + \Delta Wx = W_0x + BAx $$
- We use a random Gaussian initialization for $A$ and zero for $B$, so $∆W = BA$ is zero at the beginning of training. We then scale $∆W x$ by $α\over{r}$, where $α$ is a constant in $r$. When optimizing with Adam, tuning α is roughly the same as tuning the learning rate if we scale the initialization appropriately.
A Generalization of Full Fine-tuning


Comparison of rank-4 and rank-1 adaptation. LoRA results in fewer trainable parameters.
BA as an approximation of the change-in-weight matrix (Wᵩ).
- LoRa는 가중치 행렬이 full-rank로 gradient update될 필요가 없음.
- rank $r$ 이 pre-trained matrices와 유사하게 설정할 경우 전체 fine-tuning과 같은 expressiveness를 복구할 수 있음 .
- Adapter 방식은 layer가 추가되고, prefix 기반 방식은 입력 시퀀스가 제한되기 때문에 원래의 finetuning으로 수렴될 수 없음.
- → 학습되는 parameter 수가 증가할수록 LoRA는 원래의 finetuning 방식으로 수렴
No Additonal Inference Latency
- production 환경에서 $BA$ 만 변경하는 방식으로 다른 downstream task로 전환이 간편함.
- 결정적으로 adapter기반 방식들에 비해 inference시 추가적인 latency가 없음
2. Applying LoRA to Transformers

- 이론적으로, LoRA는 신경망 내의 어떤 weight matrices라도 적용이 가능하며, 학습 가능한 parameter를 줄여줄 수 있음.
- Transformer 구조에서 attention module에는 4개의 weight matrices ($W_q, W_k,W_v,W_o)$가 존재하고 MLP module에는 2개가 존재함.
- 본 논문에서는 attention weights에만 적용. MLP module은 학습되지 않음.4 weight matrices in attention module

Empirical Experiments
baseline

Validation Accuracy vs. number of trainiable parameters

Understanding the low-rank updates
Which weight matrices in transformer should we apply LoRa to?

- putting all the parameters in $\Delta W_Q$ or $\Delta W_k$ results in lower performance, adapting both $W_q$ and $W_v$ yields the best result.
- 하나의 weight에 더 큰 rank로 adapt하는 것 보다, rank가 적더라도 더 많은 weight matrices를 쓰는게 더 좋음
What is the optimal rank $r$ for LoRA?

- 매우 작은 $r$로도 충분한 성능을 보여줌.
- 이는 $\Delta W$ 를 업데이트 하는게 매우 작은 ‘intrinsic rank’ 를 가지고 있음을 의미함.
- → 물론 작은 $r$이 모든 task에 대해 작동한다는 것은 아님. 2개의 다른 언어로 구성된 downstream task가 있다고 했을 때, pre-train이 한 언어로 만 진행되었다면, 전체 모델을 retraining하는 것($r=d_{model}$)이 작은 $r$ 의 LoRA로 학습하는게 확실히 더 좋은 성능을 보일 것
- $r$을 증가시키는게 더 많은 의미 있는 subspace를 cover하지 못한다면, 낮은 랭크의 adaptation matrix로 충분하다고 볼 수 있음
Preliminary
Singualr Value Decomposition (SVD)


- SVD 는 matrix $A$ 를 “list of its ingredients”로 나타낸 것으로 볼 수있음.
→ SVD는 A를 $min \{m,n\}$ 개의 rank-$1$ matrices의 linear combination 으로 표현한 것과 같음. (일치하는 signular values들로 weighted 되는)
- 모든 matrix는 SVD를 가지고 있음
- Geometrically, $U,V^\top$ 는 rotation을, $\Sigma$ 는 scaling을 수행함.

Low Rank Approximation

- General Definition : $k$개의 rank-$1$ matrices의 합으로 표현 가능한 matrix의 rank는 $$ $k$임.
- $A$를 표현하는 최적의 rank-$k$ 를 찾는다
- 만약 matrix $A$ 를 성분(ingredients)의 합으로 표현(representation)할 수 있고, 이 성분들이 중요도(importance)순으로 정렬되어 있다면, 가장 중요한 $k$ 개를 가져와 rank $k$ matrix로 approximation 할 수 있다.
- → SVD 가 정확하게 같은 representation을 제공 : SVD
- The rank-$k$ approximation is then,
$$ A_k = U_kS_kV_k^\top $$

Low rank approximation via SVD Frobenius Norm
- Frobenius norm은 singular value의 L2 norm 과 같음
$$ \lVert A \rVert_F = \sqrt{ \sum_{k=1}^n \sigma_i^2} $$
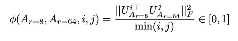
Subspace similarity between different $r$
- $A_{r=8}, A_{r=64}$ : $r$ = 8, = 64 로 학습한 모델 (with the same pre-trained model)
- Low rank approximation 계산을 위해 SVD 계산후 top $k$ 를 계산
- singluar value decomposition을 통해 right-singular matrices $U_{A_{r=8}}, U_{A_{r=64}}$를 계산
How much of the subspace spanned by the top $i$ singular vectors in $U_{A_{r=8}}$ (for $1\le i \le 8$) is contained in the subspace spanned by top $j$ singular vectors in $U_{A_{r=64}}$ (for $1\le i \le 64$)?

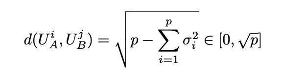
- Grassmann distance를 기반으로한 normalized subspace similarity 식
- $U_A^i \in \mathbb{R}^{d\times i}$, $U^i_A$ = columns of $U_{A_{r=8}}$ corresponding to top-$i$ singular vectors
- $\phi(\cdot)$ → 1 = complete overlap of subspaces / 0 = a complete sepration
추가 설명
- rank에 관계 없이 같은 pretrained model 이라면 $\Delta W$는 동일한 형태며 $d \times d$ 의 형태라고 가정
- $U_A^i \in \mathbb{R}^{d \times i}, U_B^j \in \mathbb{R}^{d \times j}$
- ${U_A^i}^\top U_B^j$ $\in \mathbb{R}^{i\times j}$ 의 singular value를 $\sigma_1 \cdots \sigma_p (p = min(i,j))$라고 했을때, Ham & Lee (2008) 이 제안한 distance는 다음과 같음

- 위 식을 기반으로 본 논문에서 제안한 similarity는 다음과 같이 표현 가능
- $d(\cdot) = 0$ → $\phi(\cdot) = 1$ → $U_A, U_B :$ similar
- $d(\cdot) = \sqrt{p}$ → $\phi(\cdot) = 0$ → $U_A, U_B :$ orthogonal


- $\Delta W_v$ of $A_{r=8}$ and $\Delta W_v$ of $A_{r=64}$ share a subspace of dimension 1 with normalized similarity > 0.5
- → why $r=1$ performs quite well.
- top singular-vector direction are most useful. While other directions potentially contin mostly random noises accumulated during training.
Subspace similairity between different random seeds
- plotting the normalized subspace similiarity between two randomly seeded runs with $r=64$

- $\Delta W_q$ appears to have a higher “intrinsic rank” than $\Delta W_v$
- more common singular value directions are learned by both runs for $\Delta W_q$
- 2 random Gaussian matrices do not share any common singular value directions with each other.
실험 분석 결론
- apdatation matrix는 사실 매우 낮은 rank를 가지고 있음
- $\Delta W_Q$가 $\Delta W_v$보다 더 높은 intrinsic rank를 가지고 있음.
How does the adaptation matrix $\Delta W$ compare to $W$?
- Does $\Delta W$ highly correlate with $W$?
- How “large” is $\Delta W$ comparing to its corrsponding dicrections in $W$?
To answer this question
- project $W$ onto $r$-dimensional subspace of $\Delta W$ by comupting $U^\top W V^\top$
- $U/V$ being left/right singular-vector metrix of $\Delta W$

- Compare the Frobenius norm between $\lVert U^\top W V\top \rVert_F$ and $\lVert W \rVert_F$
- we can consider a feature amplication factor = $\frac{\lVert \Delta W \rVert_F}{\lVert U^\top W V^\top \rVert_F}$
- $U^\top W V^\top$ = projection of $W$ onto the subspace spanned by $\Delta W$
- $\lVert \cdot \rVert_F$ = sigular value의 L2 Norm
- sigular value는 matrix에서 scaling 값을 의미함
- $\Delta W$ 가 task-speific 한 direction을 내포한다고 했을때, amplication factor는 기존의 $W$ 가 얼마나 증폭됐는지를 의미함.
- Amplication factor
- $r=4$: $21.5 \approx 6.91/0.32$
- $r=64$: $2 \approx 3.57/1.90$
- → the intirinsic ranck needed to represent the “task-speific directions” is low.
- we can consider a feature amplication factor = $\frac{\lVert \Delta W \rVert_F}{\lVert U^\top W V^\top \rVert_F}$
conclusion
- $\Delta W$ has a stronger correlation with $W$ compared to random matrix
- → $\Delta W$amplifies some features that are already in $W$
- Instead of repeating the top singulare directions of $W$, $\Delta W$only amplifies directions that are not emphasized in $W$
The low-rank adaptation matrix potentially amplifies the important features for specific downstream tasks that were learned but not emphasized in the general pre-training model
Conclusion
- LoRA, an efficient adaptation strategy that neiter introduces inference latency nor reduces input sequence length while retaining high model quality.
- It allows for quick task-switching when deployed as a service b6y sharing the vast majority of the model paramters.
- We focused on Trasnformer language models, the proposed principles are genrally applicable to any neural networks with dense layers.
'Machine Learning > Model' 카테고리의 다른 글
Intrinsic Dimensionality Explains the Effectiveness of Language Model Fine-Tuning (0) 2024.01.20